Calling Smriti Irani's Bluff: Twisted Truths in Parliament

Goebbels was an interesting and effective man. Held responsible for many of the worst and most supremacist and violent ideas that guided Fuhrer Hitler’s reign, he is recalled in history, more as a frequently used adjective-term, to connote a particular kind of pernicious government propaganda based on lies, or at best half-truths (he headed the Propaganda Ministry of the Nazi government).
Goebbelsian propaganda has been the forte of the Rashtriya Swayamsevak Sangh (RSS) and was palpably evident in Minister, MHRD, Smriti Irani’s speech in the Lok Sabha yesterday, February 24,2016.
The broader issues raised in the speech by the Union Minister for Human Resources Development (MHRD) have already been effectively countered in The Telegraph : A [1]Fact Check on what HRD minister Smruti Irani said in Parliament [2] including countering systematic efforts at vilification and name calling.[3]
Here we put some Questions countering the Goebbelian untruths surrounding the institutional murder of Rohith Vemula
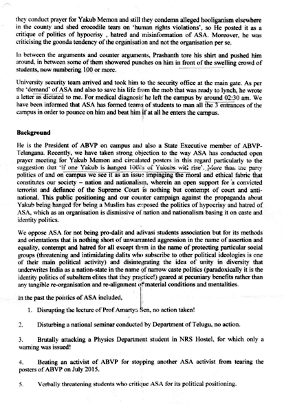
Did or did not the central minister of the BJP, Bandaru Dattatreya write to Irani on August 17, 2015, a letter in which he clearly calls the activities and vision of the Ambedkar Students Association (ASA) as casteist and anti-national? Letter can be seen here.
Was or was not Rohith Vemula’s Research Fellowship stopped (illegally) for seven months severely constraining and humiliating him?
Did or did not, on five occasions, bureaucrats of the MHRD under Irani write directly to the Vice Chancellor (VC) Hyderabad Central University (HCU) on the matter showing an unseemly interest in the case ?
(The letters are dated September 3, 2015 from the Under Secretary referring to comments by Bandaru Dattatreya, MOS, for Labour and Employment; another dated September 24, 2015, sent as reminder, signed by Deputy Secretary to the GOI; letter dated October 20, 2015, signed by Joint Secretary, MHRD; letter dated November 19, 2015, signed by Under Secretary to the GOI). Letters can be seen here.
Do or do not these letters show an obsessive interest by the Minister, MHRD that was, in effect, putting extraordinary pressure on the VC?
Is it or is it not true that a fellow student at HCU called the Health Centre immediately after learning of Rohith being hanged and within five minutes the CMO Health Centre, Dr P Rajashree reached the spot, felt his pulse and declared him dead nullifying the Goebellian lie to the nation in Parliament that no doctor or police were allowed to see Rohith till the next day?
[The doctor certified Rohith's death at 7.30 pm: UoH medical officer counters Smriti Irani's statement - http://www.thenewsminute.com/article/doctor-certified-rohiths-death-730-...
Is it not true that Rohith Vemula was quietly cremated without family or friends as the authorities did not want to face up to the palpable anger on campus and outside?
Did or did not the newly appointed Vice Chancellor, Appa Rao receive a chilling letter from Rohith Vemula on December 18, 2015 –a month before his death --that clearly indicated a warning: that by the systematic exclusion and humiliation Rohith was being pushed, and reaching, the end of his tether?
[Rohith allegedly sarcastically said in the letter that every VC of HCU should “10 mg of sodium azide to all the Dalit students at the time of admission… [and] a nice rope to the rooms of all Dalit students.” This handwritten letter should have been read as a precursor to what was coming. In the letter, Rohith allegedly goes on to say, “I request your highness to make preparations for the facility [of] ‘euthanasia’ for students like me. And I wish you and the campus rest in peace forever.” ]
Does or does this communication not squarely put the blame on the university authorities and, first and foremost, on the vice chancellor ?
[The letter traces the officially sanctioned “social boycott” of Dalit students after they took on a member of the ABVP for making derogatory remarks about Dalits. “Donald Trump will be a lilliput in front of you..”]


Did or does the VC feel at all disturbed by this communication? Does the GOI? Was there any communication between the VC, HCU authorities and Rohith and the other four research scholars between December 18, 2015 and January 17, 2016?
Were or were not the five Dalit Research scholars locked out of their rooms from January 4, 2016 onwards, compelling them to start a protest and sleep out, on the street, rubbing salt on wounds so to speak: since their research fellowship stipends had been illegally cut off from July 2015 onwards?
Were or were not the five Dalit scholars ostracised on campus and asked not even to visit the library for research, further humiliating them?
Is it or is it not true that senior functionaries of the GOI, including two central ministers (both women) have questioned the authenticity of Dalit identity of Rohith? link[4] (http://timesofindia.indiatimes.com/india/Rohith-Vemula-was-not-a-dalit-S...)
After January 17, 2016 and the tragic step that Rohith Vemula took, did or did not the GOI appoint Ajit Duval, National security Advisor the Task to investigate the real caste of Rohith Vemula?
[http://timesofindia.indiatimes.com/india/Ajit-Doval-gets-report-saying-Rohith-Vemula-was-not-a-dalit/articleshow/50749810.cms; also see http://www.thenewsminute.com/article/was-rohith-vemula-dalit-or-not-and-...
Did the trail not begin politically: with the Vice President, Bharatiya Janata Party (BJP) Hyderabad, Nandanam Diwakar writing to Central minister Dattareya, (August 10, 2015), seven days before the latter writes to Irani, a letter in which wrong and exaggerated accounts of ABVP student, Susheel Kumar’s injuries are given as well as a litany of political opposition to Ambedkarites listed? Here is the letter.



Is it not true that the claim that the University’s Investigation Team had a Dalit is untrue (Irani’s claim); there were no Dalits in the team and it was in fact headed by a Brahmin?
Is it or is it not true that all claims that ABVP student leader, Susheel Kumar “was beaten up by Rohith”, made repeatedly are actually, are untrue; HCU registrar and others have rejected Susheel Kumar’s story on violence relying on medical reports show that he was admitted to hospital for appendicitis?
Is it not true that the executive council of HCU only decided to suspend the students, that too from their hostels (Irani said they were expelled by the EC!) and that the trigger was a falsified account of a physical struggle between the RSS-affiliated ABVP and the ASA; with the former screaming “assault” and the hospital records suggesting an examination for a prior medical condition?
While Irani was giving what some have termed as a star performance in the Lok Sabha– even India’s prime minister tweeted his jubiliation at her speech-- Rohith Vemula's mother, Radhika, was at a candlelight vigil at India Gate demanding justice for her 26-year-old son. Radhika Vemula was picked up and taken to a police station in the heart of the capital when Smriti Irani was telling Parliament how condemnable it was that a "child was being used as a political tool".
Close to a month before, in a similar act the MHRD minister, Irani had, in a press conference, claimed that Rohith’s death had nothing to do with his being a Dalit.
Then Radhika Vemula had countered and I today recall those words, "I want to meet Smriti Irani and ask her 'On what basis did you declare my son to be anti-national? Your Ministry had written that my Rohith and other Dalit students were anti-national extremists. You said that he is not a Dalit. You accused him of getting a false certificate. Should I say it is because you got false certificates for your educational qualifications that you think others do so too? You stopped my son's stipend, you got him suspended from the university. You are the Minister for HRD, but you have no value for education. You can never understand how difficult it is for a Dalit to reach the stage of doing his PhD. You can never imagine the hardship, the struggle, the tears and sacrifice to reach that position. In three months, you destroyed what it had taken me 26 years to build. I am talking about my Rohith, he died at the age of 26.'"
Goebbelsian as the propaganda machine is, I do not really expect answers. There are two parallel streams at work here, one asserting, the other challenging the Indian Constitution. The war between truth, reality and propaganda is well and truly on.
[1] http://www.abplive.in/india-news/a-fact-check-on-what-smriti-irani-said-in-parliament-295872
[2] For the record, the writer of this article was mentioned by the Hon’ble Minister in her speech leading to several calls from the media: there were falsifications, probably deliberate here too: the Supplemenatry materials for teachers of the Don Bosco schools were prepared by me (the author of this article) in 2001; not when Kapil Sibal was a Minister; it was the Shiv Sena that had then taken objections to the manner in which Shivaji's Coronation was dealt with in the manuals.the author of the manuals has an adjudication in her favour from the State Human Rights Commission.
[4] http://www.firstpost.com/india/after-widespread-outrage-smriti-irani-claims-rohith-suicide-not-dalit-vs-non-dalit-matter-2591830.html; http://www.ndtv.com/opinion/smriti-irani-spoke-of-this-child-his-mother-...
Courtesy: sabrangindia.in
Disclaimer: The views expressed here are the author's personal views, and do not necessarily represent the views of Newsclick.
Get the latest reports & analysis with people's perspective on Protests, movements & deep analytical videos, discussions of the current affairs in your Telegram app. Subscribe to NewsClick's Telegram channel & get Real-Time updates on stories, as they get published on our website.
